Info
This site is generated using the static site generator developed by the Typst Community. Please adjust the text content of this banner according to your usage requirements. At Typst GmbH's request, when publishing documentation, you must clearly indicate that it is non-official and display the version of Typst being documented. For details, refer to Issue #874 on typst/typst.

cases
Element
Element
Element functions can be customized with set and show rules.

A case distinction.

Content across different branches can be aligned with the & symbol.

Example

$ f(x, y) := cases(
  1 "if" (x dot y)/2 <= 0,
  2 "if" x "is even",
  3 "if" x in NN,
  4 "else",
) $
Preview

Parameter
Parameter
Parameters are input values for functions. Specify them in parentheses after the function name.

delim
Settable
Settable
Settable parameters can be set using the set rule, changing the default value used thereafter.

The delimiter to use.

Can be a single character specifying the left delimiter, in which case the right delimiter is inferred. Otherwise, can be an array containing a left and a right delimiter.

Show example
#set math.cases(delim: "[")
$ x = cases(1, 2) $
Preview
Default value:
("{", "}")

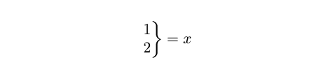
reverse
Settable
Settable
Settable parameters can be set using the set rule, changing the default value used thereafter.

Whether the direction of cases should be reversed.

Show example
#set math.cases(reverse: true)
$ cases(1, 2) = x $
Preview
Default value:
false

gap
Settable
Settable
Settable parameters can be set using the set rule, changing the default value used thereafter.

The gap between branches.

Show example
#set math.cases(gap: 1em)
$ x = cases(1, 2) $
Preview
Default value:
0% + 0.2em

children
Required
Required
Required parameters must be specified when calling the function.
Positional
Positional
Positional parameters can be set by specifying them in order, omitting the parameter name.
Variadic
Variadic
Variadic parameters can be specified multiple times.

The branches of the case distinction.

Open official docs

Search